Home
°øÁö»çÇ×
ã¾Æ¿À½Ã´Â±æ
½Ã¼³¼Ò°³
ÀԼҾȳ»
»ç¾÷¾È³»
»çÁø¸¶´ç
Ä¿¹Â´ÏƼ
°øÁö»çÇ×
Á¤º¸¸¶´ç
ÀÚÀ¯°Ô½ÃÆÇ
»çÁø¸¶´ç
¹«¾ùÀ»µµ¿Íµå¸±±î¿ä? ´ëÇ¥¹øÈ£.062-944-9339 062-944-0079 ÆÑ½º¹øÈ£.062-944-6529 À̸ÞÀÏ.pyun9339@hanmail.net
°øÁö»çÇ×
Home
> Ä¿¹Â´ÏƼ > °øÁö»çÇ×
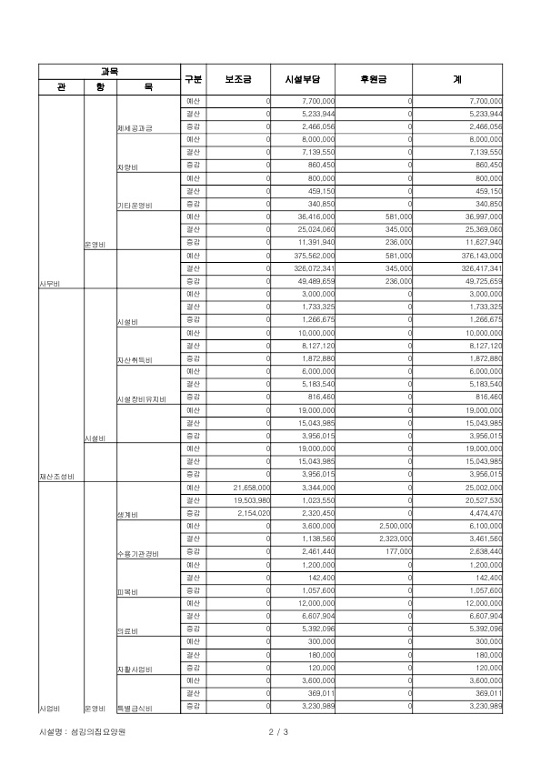
2018³âµµ ¼¶±èÀÇÁý ¼¼ÀÔ¼¼Ãâ °á»ê¼ ¹× ÈÄ¿ø±Ý »ç¿ë ³»¿ª º¸°í
±Û¹øÈ£
67
µî·ÏÀÏ
2019-03-19
µî·ÏÀÚ
½Ã¼³Àå
Á¶È¸¼ö
1880¸í
´Ù¿î·Îµå
2018³âµµ ¼¶±èÀÇÁý ¼¼ÀÔ¼¼Ãâ °á»ê¼ ¹× ÈÄ¿ø±Ý »ç¿ë ³»¿ª º¸°í ÀÔ´Ï´Ù.
ÀÌÀü±Û
2019³â 05¿ù ÇÁ·Î±×·¥°èȹ¼
´ÙÀ½±Û
2019³â 1/4ºÐ±â ¼¶±èÀÇÁý¿ä¾ç¿ø ¿î¿µÀ§¿øÈ¸ÀÇ °³ÃÖ ¾È³»
¸®½ºÆ®
¼¶±èÀÇÁý ¿ä¾ç¿ø 287-80-00588 Àü¶óºÏµµ Á¤À¾½Ã ´öõ¸é Űí·Î 679 ȨÆäÀÌÁö. www.¼¶±èÀÇÁý.com
´ëÇ¥¹øÈ£. 063-535-9510 ÆÑ½º¹øÈ£. 063-538-9501 E-mail. gy9500@naver.com
Copyright 2016.
¼¶±èÀÇÁý ¿ä¾ç¿ø
All Rights Reserved.