Ä¿¹Â´ÏƼ

°í°´¹®ÀÇ

°øÁö»çÇ×

Home > Ä¿¹Â´ÏƼ > °øÁö»çÇ×

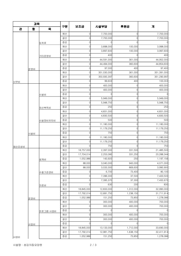
2019³âµµ ¼¶±èÀÇÁý ¼¼ÀÔ¼¼Ãâ °á»ê¼­ ¹× ÈÄ¿ø±Ý »ç¿ë ³»¿ª º¸°í
±Û¹øÈ£ 86 µî·ÏÀÏ 2020-03-31
µî·ÏÀÚ ¼¶±èÀÇÁý Á¶È¸¼ö 2026¸í
´Ù¿î·Îµå

 

 

(1) °á»êÃѰýÇ¥

 

(2) ¼¼ÀÔ°á»ê¼­

 

 (3) ¼¼Ãâ°á»ê¼­

 

 

(4) ÈÄ¿ø±Ý ¼öÀÔ ¹× ÁöÃâ ³»¿ª¼­


ÀÌÀü±Û 2020³â 04¿ù ÇÁ·Î±×·¥ °èȹ¼­
´ÙÀ½±Û 2020³â 1/4ºÐ±â ¼¶±èÀÇÁý¿ä¾ç¿ø ¿î¿µÀ§¿øÈ¸ÀÇ °³ÃÖ ¾È³»
º¸°Çº¹ÁöºÎ      º¹Áö³Ý      »ç¶ûÀÇ¿­¸Å      ±¹¹Î°Ç°­º¸Çè      Á¤À¾½Ã      ȨÆäÀÌÁöÁ¦ÀÛ
¼±
¼¶±èÀÇÁý
¼¶±èÀÇÁý ¿ä¾ç¿ø 287-80-00588   Àü¶óºÏµµ Á¤À¾½Ã ´öõ¸é Å°í·Î 679   È¨ÆäÀÌÁö. www.¼¶±èÀÇÁý.com  
´ëÇ¥¹øÈ£. 063-535-9510   ÆÑ½º¹øÈ£. 063-538-9501   E-mail. gy9500@naver.com
Copyright 2016. ¼¶±èÀÇÁý ¿ä¾ç¿ø All Rights Reserved.      °ü¸®ÀÚÁ¢¼Ó